手机版 客户端

超表面非线性光子学研究取得进展

www.iikx.com,爱科学

  超表面非线性光子学研究取得进展

 
非线性光学技术是全光信号处理、生物医学成像和量子信息等前沿领域的重要技术,受传统材料非线性光学效应弱、依赖强激光源和长相互作用距离等问题限制,难以满足集成化、低功耗纳米光子器件的发展需求。介电常数近零(ENZ)材料具有超快、超强的非线性光学效应,有望解决这一难题。基于准连续域束缚态(Q-BIC)的微纳结构通过高品质因子共振显著增强光与物质的相互作用,为调控非线性光学效应开辟了新途径。然而,Q-BIC体系存在的窄带宽特性及其对结构参数的极端敏感性,严重制约其实际应用。如何在微纳尺度下突破高品质因子与工作带宽之间的制约关系,实现高性能光子器件的设计与制备,已成为当前光子集成领域亟待解决的关键问题。

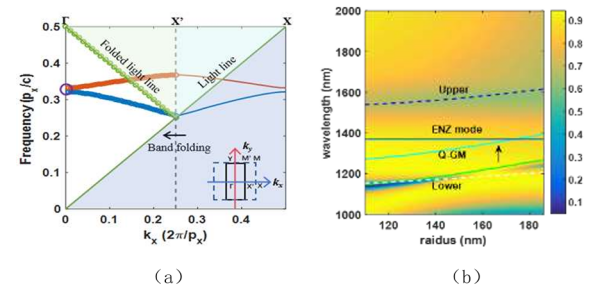
  针对上述问题,中国科学院西安光学精密机械研究所研究团队首次提出了准导模(Q-GM)与ENZ模式强耦合的非局域超表面结构设计,通过引入周期扰动实现第一布里渊区折叠,构建出角度可调的高品质因子Q-GM,突破传统 Q-BIC的波矢和波长限制。

  该耦合机制具有如下优势:Q-GM与ENZ模式之间的强场重叠效应产生了260meV的能级反交叉分裂,显著增强非线性光学效应;正入射条件下,超表面的非线性折射率系数达到In2I=3.8×10-13m2/W,比ENZ薄膜的非线性系数提升了3个数量级,有效降低片上非线性光子器件功耗;得益于Q-GM在宽波矢的高品质因子,实验测量超表面非线性系数随入射角的增加具有鲁棒性,实现了宽带可调的强非线性光学效应。研究成果为开发具有大角度、多波长调控的非线性光子器件提供了新的技术路线,在集成光子学、全光信号处理及生物传感成像等领域展现出应用潜力。

  近日,相关研究成果以Enhanced the Tunable Nonlinearity of Epsilon-Near-Zero Nonlocal Metasurface by Quasi-Guided Mode为题,发表在《激光与光子学评论》Laser Photonics Reviews)上。

  论文链接

(a)三维结构(b)测量与仿真的线性透射谱。

(a)无ENZ薄膜的能带折叠(b)共振透射峰与结构参数的关系。

正入射时测量与仿真的(a)非线性折射率系数(b)非线性吸收系数。

斜入射的线性光学特性(a)不同入射角度下实验与仿真的线性透射谱;(b)电场分布以及共振透射峰与入射角度的关系。

 

研究团队单位:西安光学精密机械研究所

 

www.iikx.com,爱科学

超表面非线性光子学研究取得进展

参考标签

声明:本文转载仅出于学习和传播信息所需,并不意味着代表本站观点或证实其内容的真实性;其他网站或个人转载使用须保留本站所注“来源”,并自负相关法律责任;如作者不希望被转载或其他事宜,请及时联系我们!