电介质超表面中指定涡旋的非线性生成。 导读
涡旋光束在众多领域具有重要应用,但传统光学器件产生涡旋光束的方式限制了其在集成系统中的应用。超表面的出现为涡旋光束的产生带来了新的可能性,尤其是在非线性领域,尽管近些年来已经有一些研究,但仍存在诸多问题,如轨道角动量产生方式较为定性,缺乏对设计与实验结果差异的深入探讨。最近,来自法国巴黎西岱大学以及法国国家科学研究中心的Giuseppe Leo等研究人员概述了光学涡旋以及超表面对于二次谐波(SH)涡旋产生的优势以及特点等。针对前期的问题,提出了一种非线性超表面平台,能够产生具有大跨度拓扑荷(1到10)的高纯度SH涡旋光束,且实验特征与理论高度吻合。另外还通过对实验数据和半解析计算模型的比较,深入解释了鬼涡旋(ghost vortices)出现的原理。
该文章近日发表在国际顶尖学术期刊《Light: Science Applications》,题为Unravelling the nonlinear generation of designer vortices with dielectric metasurfaces,法国巴黎西岱大学以及法国国家科学研究中心的Giuseppe Leo为论文通讯作者,Laure Coudrat为论文第一作者。
研究背景
结构光是指具有特殊相位或偏振结构的光场,在物理和生命科学等领域中发挥着日益重要的作用。光学涡旋是最具有代表性的结构光,主要特征是具有螺旋波前。在垂直于传播方向的平面内,涡旋光束的相位会围绕中心奇点在0到2π之间变化m次,其中m称为拓扑荷,用于量化螺旋波前的数量以及方向。这种特殊的相位结构与轨道角动量(OAM)相关,这为光镊、计量学、光通信和量子光学等领域提供了额外的自由度。此外,沿着传播方向的相位奇点处强度为零。这种典型的环形形状也是受激发射损耗显微镜的关键要素。
目前,产生光学涡旋的技术有很多,但大多依赖于空间相干光束与宏观光学元件(如柱面透镜、空间光调制器和相位板)的相互作用,或者依赖于聚焦激光束中出现的自旋轨道耦合效应。
超表面因其紧凑的尺寸、轻重量以及与半导体制造技术的兼容性方面的优势,能够将结构光集成到先进集成光子系统中。超表面可以使用几何(PB)相位、导向或共振相位(惠更斯)方法来定制入射光的波前。在PB方法中,通过旋转每个纳米结构来调制相位,导向和共振相位方法通过改变每个纳米结构的形状或大小来调整垂直引导模式的有效折射率并激发电偶极子和磁偶极子。重要的是,在导向方法中,实现0-2π的相位变化需要的纳米柱结构的纵横比相对另外两种方法更高,这对低成本和大规模制造提出了更大的技术挑战。
惠更斯原理和PB原理在非线性领域也有一定的应用,如高次谐波产生、谐波光束整形以及谐波处的非线性涡旋光束产生。目前,在二次谐波处观察到的涡旋大多由等离子体超表面产生的,但是既没有对其模态纯度进行分析,也没有与预期模拟进行定量比较。在三次谐波处产生的涡旋则是由具有大禁带宽度的成熟半导体材料设计的介质超表面获得,尽管场限制较弱,但由于在可见光和近红外范围内具有更高的非线性、更低的损耗和高损伤阈值,所以相对于等离子体平台是有优势的,但是三次谐波涡旋的纯度及其相对于设计的实验偏差相关研究较少。
创新研究
作者使用的非线性超表面由[100]晶向的Al0.18Ga0.82As谐振器单元在AlOx衬底上周期性排列组成。首先,AlGaAs合金(n>3)和氧化铝(n=1.6)之间的高折射率差使得基频(FF,λ=1550nm)和二次谐波(SH,λ=775nm)实现光共振,并实现电磁场的紧密束缚。其次,选择谐振器单元的几何形状以确保垂直于表面的定向SH发射。作者对之前常用的谐振器单元形状进行了关键性的修改,即考虑半椭圆圆柱体(图1a)。作者通过仿真得到在正常泵浦入射下,该结构在谐振器单元内(图1b)以及在轴向上有明显的场强束缚和SH发射波瓣(图1c)。此外,图1d中的图谱显示,通过改变谐振器单元的长半轴a和短半轴b,可以在很大程度上调节轴上SH远场的相位和振幅。最后,将所需相位与图1d中的分布进行对比,选择最匹配的谐振器单元。作者根据需要提取了部分参数的谐振器单元如图1e所示。

图1. 非线性超表面的设计
首先考虑拓扑荷m=10的涡旋光束的器件。使用了图1e中的172种不同类型的谐振器单元来实现所需的相位分布。制备的超表面的扫描电子显微照片如图2a所示。作者将来自器件的SH光束在广义马赫曾德尔中与参考光束干涉,图 2b中所示的叉状干涉图案在其中心具有位错,揭示了与螺旋相位分布相关的相位奇点。作者还使用一个复合源阵列与一个略微倾斜的高斯光束干涉模拟了实验中的叉状图案。其中,m=10可以通过实验干涉图案中围绕位错的亮条纹数量直接读取。图2c显示了SH涡旋在傅里叶平面中的强度分布,该图案呈现出项链形状,且有20个极大点,这是因为存在一个拓扑荷m=–10的鬼涡旋。为了验证上述鬼涡旋的推测,作者通过纯度测量来证实,在纯度谱(图2d)中,确认了存在荷为m=–10的鬼涡旋,其贡献接近2%。

图2. m=10的SH涡旋光束表征
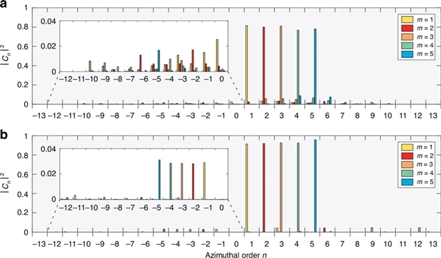
上述m=10的所有结果可以推广到具有其他拓扑荷的SH涡旋光束产生的非线性超表面。作者给出了拓扑荷从1到5的涡旋光束的超表面实验(图3a~c)和模拟(图3b~d)结果。对于所有的值,结果均表明存在一个拓扑荷为–m的鬼涡旋。在不同m的情况下,鬼涡旋的存在都通过模态分解分析得到了证实(图4)。作者通过实验结果与半解析模型的对比,分析解释了鬼涡旋的成因是不同谐振器单元几何形状的SH产生效率之间的微小差异。

图3. 不同拓扑荷的SH涡旋光束产生

图4. 模式纯度分析
总结与展望
本文中,作者成功产生拓扑荷为1-10的SH涡旋光束,实验与模拟高度吻合。并发现了鬼涡旋现象,通过系统分析确定其原因为不同谐振器单元几何形状的SH产生效率存在微小的差异,而非制造缺陷。另外还证实了所有SH涡旋光束为标量且线性偏振,且SH产生效率较以往的研究有显著提高。
本研究在非线性结构光产生和操控方面有重要意义,在光通信和全息成像等领域有潜在应用。将来可以进一步优化制备工艺,提高共振品质因数,可进一步提高谐波场产生效率,拓展相关研究和应用前景。(来源:LightScienceApplications微信公众号)
相关论文信息:https://doi.org/10.1038/s41377-025-01741-0
特别声明:本文转载仅仅是出于传播信息的需要,并不意味着代表本网站观点或证实其内容的真实性;如其他媒体、网站或个人从本网站转载使用,须保留本网站注明的“来源”,并自负版权等法律责任;作者如果不希望被转载或者联系转载稿费等事宜,请与我们接洽。
作者:Giuseppe Leo 来源:《光:科学与应用》

