FCSE ZnO催化剂晶面依赖性对CO2与环氧化物环加成反应的影响。论文标题:Crystal facet-dependent CO2 cycloaddition to epoxides over ZnO catalysts
期刊:Frontiers of Chemical Science and Engineering
作者:Yongjian Wei, Ying Li, Yunfei Xu, Yinghui Sun, Tong Xu, Haiou Liang, Jie Bai
发表时间:15 May 2024
DOI: 10.1007/s11705-024-2412-6
微信链接:点击此处阅读微信文章
环碳酸酯作为一类高附加值化学品,在聚合物合成、医药制剂、极性非质子溶剂及锂电池电解质等领域具有广泛应用,例如其可替代传统增塑剂用于可降解塑料的生产,或作为锂离子电池电解液提升电化学稳定性。然而,环碳酸酯的工业合成通常依赖高活性均相催化剂,存在分离困难、含卤素活性位点毒性等问题。

内蒙古工业大学化学工程学院李莹等在《化学科学与工程前沿》(英文)发表了题为Crystal facet-dependent CO2 cycloaddition to epoxides over ZnO catalysts(ZnO催化剂晶面依赖性对CO2与环氧化物环加成反应的影响)的研究论文,通过晶面调控策略揭示了氧化锌(ZnO)表面氧空位浓度与CO2环加成活性的内在关联,为绿色合成环碳酸酯提供了新方法。
研究采用水热法设计合成了两种ZnO催化剂:以(002)极性晶面为主的纳米片(P-ZnO)和以(100)非极性晶面为主的纳米棒(R-ZnO)。X射线衍射(XRD)与高分辨透射电镜(HRTEM)显示,P-ZnO的(002)晶面衍射峰强度比(I(002)/I(100))为1.17,而R-ZnO的仅为0.48,证实了晶面取向差异(图1)。氮气吸附-脱附实验表明二者比表面积相近(P-ZnO: 4.604 m2·g-1;R-ZnO: 4.167 m2·g-1),排除了孔隙结构对催化性能的干扰。通过电子顺磁共振(EPR)定量分析,P-ZnO的氧空位浓度(4.34×1015 spins)达到R-ZnO(1.95×1015 spins)的2.23倍(图2),而锌空位浓度差异不足4%。密度泛函理论(DFT)计算进一步表明,(002)晶面氧空位形成能(3.07 eV)显著低于(100)晶面(6.02 eV),从电子结构层面解释了氧空位的分布规律。

图1 P-ZnO和R-ZnO催化剂的XRD谱图

图2 (a) P-ZnO与R-ZnO的拉曼光谱,(b) P-ZnO与R-ZnO的氧(O)1sX射线光电子能谱,(c) P-ZnO与R-ZnO的电子顺磁共振谱,以及(d) P-ZnO与R-ZnO中氧空位和锌空位的总自旋数
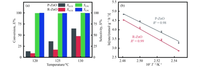
在环氧氯丙烷与CO2的环加成反应中,P-ZnO展现出显著优势:130 ℃、2MPa的条件下反应4小时,环氯丙烷碳酸酯(CPC)产率达64.7%,远高于R-ZnO的42.3%。Arrhenius方程计算显示,P-ZnO表观活化能为191.53 kJ·mol-1,低于R-ZnO的224.23 kJ·mol-1,表明其更易促进反应的进行(图3)。循环实验发现,P-ZnO在5次使用后活性开始下降(产率47.64%),而R-ZnO仅使用2次后即衰减至30.74%(图4)。通过热重分析(TG)与EPR对失活催化剂进行研究,活性下降的主因是氧空位浓度降低(P-ZnO减少36.3%,R-ZnO减少30.0%),XPS检测到表面化学吸附氧物种(533.18 eV)的增加证实了氧空位被占据的假设。

图3(a)反应温度对ZnO催化剂上CO2环加成反应的影响;(b) P-ZnO与R-ZnO催化反应的阿伦尼乌斯曲线图

图4(a)P-ZnO与R-ZnO催化剂在CO2环加成反应中的可回收性
基于实验与理论计算,本研究提出(002)晶面的高氧空位浓度可通过双重作用提升催化效率:一,CO2在氧空位处形成三齿碳酸盐中间体(吸附能-0.34 eV),较(100)晶面的双齿吸附(-0.09 eV)更稳定;二,环氧氯丙烷在(002)晶面的吸附距离缩短至2.52 Å(R-ZnO为3.45 Å),促进开环过程。此外,溶剂DMF通过协同作用生成羧酸盐中间体,进一步降低反应能垒。本研究首次建立了ZnO晶面取向-氧空位浓度-催化活性的定量关系,证明(002)极性晶面可定向调控氧空位生成,为开发高效金属氧化物催化剂提供了实验与理论依据。
引用信息
Yongjian Wei, Ying Li, Yunfei Xu, Yinghui Sun, Tong Xu, Haiou Liang, Jie Bai. Crystal facet-dependent CO2 cycloaddition to epoxides over ZnO catalysts. Front. Chem. Sci. Eng., 2024, 18(5): 53
https://doi.org/10.1007/s11705-024-2412-6
本文来自
Special Issue—Catalysis for a sustainable future

扫描二维码 查看原文
原文链接:
https://journal.hep.com.cn/fcse/EN/10.1007/s11705-024-2412-6
《前沿》系列英文学术期刊
由教育部主管、高等教育出版社主办的《前沿》(Frontiers)系列英文学术期刊,于2006年正式创刊,以网络版和印刷版向全球发行。系列期刊包括基础科学、生命科学、工程技术和人文社会科学四个主题,是我国覆盖学科最广泛的英文学术期刊群,其中12种被SCI收录,其他也被AHCI、Ei、MEDLINE或相应学科国际权威检索系统收录,具有一定的国际学术影响力。系列期刊采用在线优先出版方式,保证文章以最快速度发表。
中国学术前沿期刊网
http://journal.hep.com.cn

来源:Frontiers of Chemical Science and Engineering

