生活方式介入治疗有助于减轻艾滋病人代谢性脂肪肝。 近日,记者从香港中文大学医学院了解到,该学院研究人员进行了一项针对艾滋病毒感染者的单盲、随机对照临床研究,评估经过营养师指导的生活方式介入治疗对艾滋病患者代谢性脂肪肝的疗效。研究结果显示,近七成患者接受为期一年的介入治疗后,病情有所改善,疗效较接受标准临床护理更为显著,有助于降低该高危组群患上严重肝病及肝癌的风险。研究结果发表于《柳叶刀-艾滋病》。
代谢性脂肪肝是艾滋病感染者罹患慢性肝病的主要原因,病情恶化后可能导致脂肪性肝炎甚至肝癌。除了肝脂肪含量过高之外,代谢性脂肪肝患者也面临体重过重、高血脂等风险因素。艾滋病感染者患上代谢性脂肪肝后,病情恶化的机率远高于一般大众。然而,医学界甚少进行随机对照的临床研究,分析调整生活方式对减轻艾滋病患者代谢性脂肪肝病情的作用。对艾滋病感染者而言,目前可用于治疗代谢性脂肪肝的药物选择有限,因此急需更多以实证为本的临床研究,为艾滋病感染者提供更适合的治疗方案。
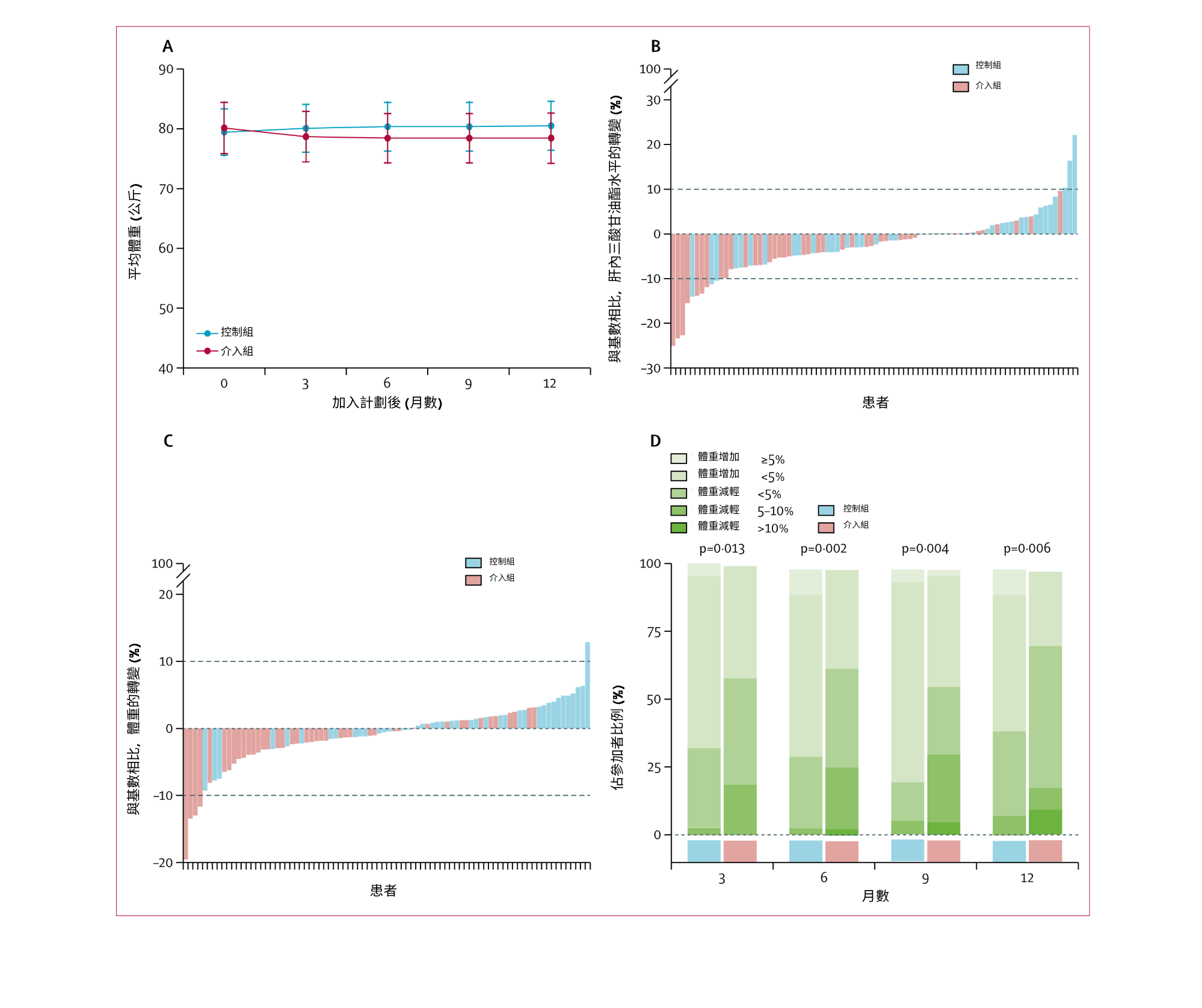
研究团队对香港中文大学威尔斯亲王医院84名18岁以上、患有代谢性脂肪肝的艾滋病感染者进行为期十二个月的临床研究。他们正在接受抗艾滋病病毒药物治疗(ART),且其HIV RNA病毒含量在至少半年内维持在50拷贝/每毫升以下,男性参与者占88%。
参与者随机划分为介入组及对照组,前者接受为期一年、由营养师指导的生活方式介入计划,期间营养师按照标准提供运动和饮食建议,例如标准膳食份量,以及量身订造的均衡饮食和血糖指数等健康教育。后者接受标准临床护理,包括HIV监测、药物依从性评估及共病管理。由此进一步测量参与者肝脂肪含量是否低于5%。超过九成参与者在一年介入期后完成了所有评估。
生活方式介入治疗对体重及BMI的评估结果。研究团队供图
?
临床研究结果显示,介入组中有74%参与者的代谢性脂肪肝病情有所改善,而对照组中病情减轻者则不足40%。介入组在体重、身体质量指数、总身体脂肪、躯干脂肪以及肝内脂肪含量的平均降幅均较对照组显著。
生活方式介入主要通过调整个人的日常行为来改善健康状况,例如改变饮食习惯、增加日常运动量等。论文通讯作者、港中文医学院内科及药物治疗学副教授雷颂恩解释:该研究不但有助于医学界评估生活方式介入能否减轻HIV感染者的代谢性脂肪肝病情,也为这些患者的肥胖指标、炎症反应标志物及肝纤维化等关键健康指数提供宝贵数据。建议未来的研究可着眼于分析生活方式介入结合药物治疗方案的成效,并考虑将其纳入常规治疗,从而增加HIV感染者在代谢性脂肪肝方面的治疗选择。
艾滋病感染者的代谢性脂肪肝病理机制较为复杂,与炎症、行为因素及ART治疗引致的代谢并发症风险有关,该研究有望为此类有较高肝病风险的艾滋病感染者提供更有效的监测、介入及治疗措施,进一步降低其罹患肝癌甚至死亡的风险。(来源:中国科学报 刁雯蕙)
相关论文信息:https://doi.org/10.1016/S2352-3018(25)00032-3
作者:雷颂恩等 来源:《柳叶刀—艾滋病》

