我国科研人员实现月-地VLBI基线干涉测量。中国科学院上海天文台科研人员牵头负责的月球轨道VLBI试验系统(LOVEX),是中国月球探测工程嫦娥七号的一个科学组成部分。LOVEX充分利用鹊桥二号中继星平台及其相关设备,包括4.2米口径X波段天线、固存和S/Ka波段通讯系统等,以及鹊桥二号上搭载的VLBI专用设备,建立了国际上首个月球轨道VLBI系统。LOVEX与地面VLBI台站联合观测,构成的月地基线空间VLBI网,具有38万千米超长基线、超高空间分辨率,可开展深空探测器精密测定轨和具有重大科学意义的天文观测研究。
VLBI专用载荷设备由上海天文台牵头负责,联合国内多家航天电子技术单位共同完成研制。主要设备包括X波段低温接收机及制冷机控制单元、被动氢原子钟、变频和数据采集后端、VLBI馈源、波束波段及电缆组件等。鹊桥二号中继星目前运行于近月点300公里、远月点16万公里的稳定轨道。VLBI设备经过单机测试,各项指标满足要求。工作波段为X波段,记录带宽可选64,128,256,512 MHz,最大的采样率2048 Mbps,制冷接收机噪声温度42.3 K,系统温度89.3 K,被动式氢原子钟100秒的阿兰方差为8×10-14 。
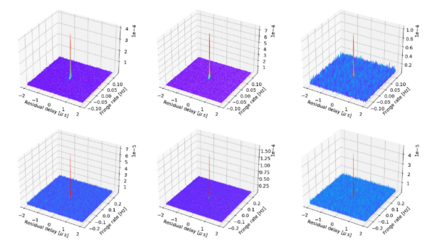
LOVEX首次VLBI实验观测天体为类星体AO 0235+164,该目标源是已知明亮的耀变体,具有强烈的射电辐射和极端亮温度,位于月球轨道平面附近,月地投影基线变化较大,是验证LOVEX探测极限的理想目标。LOVEX联合上海天马、昆明、南山等地面望远镜于2024年10月18日首次在0.37倍地球直径的投影基线上探测到该源的干涉条纹。2025年1月23日,LOVEX在5.5倍地球直径基线上实现512 MHz全带宽观测,数据质量显著提升,这些结果验证了LOVEX具有探测亚毫角秒尺度结构的能力。LOVEX还成功应用于深空探测领域,对地月L2点的嫦娥六号轨道器进行了精密定轨。
LOVEX是第一个由一个国家独立完成的空间VLBI系统。LOVEX成功地检测到天体射电辐射和航天器信号在月-地基线的干涉条纹,表明该系统各项设备运行正常,各项性能和指标满足要求,为超高分辨率射电天文学和精确航天器跟踪开辟了新的可能性。随着数据收集和科学分析的不断深入,LOVEX有望提供对天文环境的深入了解,并为未来的深空探测能力的提升作出贡献。
相关研究成果发表在《中国科学:物理学 力学 天文学(英文版)》上。
VLBI专用载荷飞行件在桌面综合测试现场照片
VLBI设备主要参数
两次实验LOVEX与昆明、天马和乌鲁木齐望远镜获得地-月基线的观测干涉条纹
研究团队单位:上海天文台

