FIE 北京工业大学周开岭副研究员等:具有无缝导电网络的酸稳定双金属磷化物-银核壳纳米线用于增强析氢反应。论文标题:Acid-stable bimetallic phosphide-silver core-shell nanowires with a seamlessly conductive network for enhanced hydrogen evolution reaction
期刊:Frontiers in Energy
作者:Hang Yu, Jianhua Zhang, Kailing Zhou, Hao Wang
发表时间: 29 May 2025
DOI: 10.1007/s11708-025-1023-3
微信链接:点击此处阅读微信文章

文章简介
本文报道了一种基于双金属磷化物-银核壳纳米线(NiCoP@Ag NWs)的新型电催化剂,通过构建无缝导电网络和优化电子结构,实现了酸性条件下高效稳定的析氢反应(HER)。该催化剂在10 mA/cm2电流密度下展现出109 mV的低过电位,并在酸性介质中保持超过100小时的优异耐久性,性能超越多数已报道的非贵金属催化剂,为质子交换膜水电解(PEMWE)的工业化应用提供了潜在解决方案。
研究背景与意义
氢能具有高能量密度和零碳排放特性,被视为替代化石燃料的理想能源载体。可再生能源驱动的电催化水分解技术是制备高纯度绿氢的可持续途径,其中质子交换膜水电解(PEMWE)凭借高电流密度、低欧姆电阻和高氢气纯度等优势,成为最具前景的制氢技术之一。目前,PEMWE的阴极HER催化剂主要依赖贵金属(如铂、钌),但其高昂的成本和稀缺性严重限制了大规模应用。因此,开发低成本、高性能的非贵金属HER催化剂成为能源领域的研究热点。
过渡金属磷化物(TMPs)具有优异的理化性质和催化活性,被广泛研究作为贵金属替代品。其中,镍、钴基磷化物因具备良好的HER性能备受关注,但单金属磷化物存在电子结构调控不足、酸性条件下稳定性差等问题。通过双金属掺杂构建协同效应,或结合高导电载体优化电荷传输,是提升TMPs催化性能的有效策略。本文通过设计NiCoP@Ag NWs核壳结构,旨在解决电子传导效率和酸性稳定性的关键挑战,为非贵金属HER催化剂的实用化奠定基础。
主要研究内容
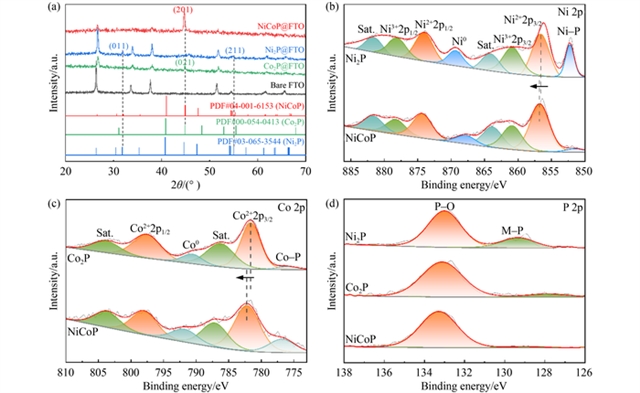
研究采用两步法合成了NiCoP@Ag NWs催化剂:首先通过水热法制备银纳米线(Ag NWs),并将其均匀涂覆在柔性布基底上形成导电网络;随后通过电沉积工艺在Ag NWs表面原位生长NiCoP,构建核壳结构。扫描电子显微镜(SEM)和高分辨率透射电子显微镜(HRTEM)表征显示,NiCoP均匀包覆于Ag NWs表面,形成粗糙的纳米突起结构,暴露出丰富的催化活性位点。X射线衍射(XRD)结果证实了NiCoP的(201)和(111)晶面存在,而X射线光电子能谱(XPS)分析表明,Ni、Co与P之间的电子相互作用导致了电荷的重分布,优化了催化剂表面的电子结构。

图1 所制备催化剂的结构表征

图2 物相结构与电子态表征
为揭示催化机制,研究结合密度泛函理论(DFT)计算,发现NiCoP的d带中心与费米能级的距离大于Ni2P和Co2P,表明其对氢中间体(H*)的吸附能垒更低。计算的H吸附吉布斯自由能(ΔGH*)显示,NiCoP的ΔGH*为-0.38 eV,接近HER的最佳值(0 eV),显著优于Ni2P(-0.42 eV)和Co2P(-0.67 eV),证明双金属协同作用有效调控了反应动力学。

图3 计算模型与局域电场分布
电化学性能测试表明,NiCoP@Ag NWs在0.5 mol/L H2SO4中表现出优异的HER活性:10 mA/cm2电流密度下过电位仅为109 mV,低于Ni2P@Ag NWs(144 mV)和Co2P@Ag NWs(174 mV);塔菲尔斜率为62.6 mV/dec,表明反应遵循Heyrovsky机制。交流阻抗谱(EIS)显示其电荷转移电阻远低于NiCoP@泡沫镍,证明Ag NWs导电网络可加速电子的传输。稳定性测试中,该催化剂在10 mA/cm2下连续运行100小时后,过电位仅增加6 mV,且核壳结构未发生明显降解。

图4 NiCoP@Ag NWs、NiCoP@NF、Ni2P@Ag NWs和Co2P@Ag NWs的析氢反应性能测试结果
研究结论
本研究成功制备了具有核壳结构的NiCoP@Ag NWs电催化剂,通过Ag NWs构建的无缝导电网络提升了电子传导效率和电解液接触面积,双金属Ni-Co-P的协同作用优化了电子结构并降低了H*吸附能垒。该催化剂在酸性条件下展现出低过电位、高耐久性的HER性能,其综合指标超越多数非贵金属催化剂。研究结果表明,核壳结构设计为提升非贵金属催化剂的酸性稳定性提供了新思路,NiCoP@Ag NWs在PEMWE制氢领域具有潜在的工业化应用价值。未来可进一步探索该催化剂在更高电流密度下的长期稳定性,以及通过界面工程进一步优化其催化活性。
原文信息
Acid-stable bimetallic phosphide-silver core-shell nanowires with a seamlessly conductive network for enhanced hydrogen evolution reaction
Hang Yu, Jianhua Zhang, Kailing Zhou, Hao Wang
Author information:
Key Laboratory for New Functional Materials of the Ministry of Education, College of Materials Science and Engineering, Beijing University of Technology, Beijing 100124, China
Abstract:
Developing low-cost and high-performance acid-resistant electrocatalysts is essential for the industrialization of hydrogen production via proton exchange membrane water electrolysis. Herein, an acid-stable bimetal phosphide (NiCoP) catalyst wrapped around silver nanowires (Ag NWs), forming a seamless conductive core-shell structure (NiCoP@Ag NWs), is reported to enhance the hydrogen evolution reaction (HER). The incorporation of Ag NWs creates an uninterrupted conductive network that facilitates efficient electron transfer and provides a large electrolyte-accessible surface area for mass transport. The synergistic interaction among Ni, Co, and P further optimizes electronic structure and decreases the energy barrier of NiCoP@Ag NWs for H* adsorption and desorption. More importantly, the distinctive core-shell structure imparts outstanding acid resistance to the catalyst. Notably, NiCoP@Ag NWs displays remarkable HER performance, with a low overpotential of 109 mV (significantly lower than Ni2P@Ag NWs at 144 mV and Co2P@Ag NWs at 174 mV) at a current density of 10 mA/cm2, along with excellent durability exceeding 100 h in acidic media. These features surpass most reported non-noble metal catalysts, demonstrating extraordinary potential for practical hydrogen production via acidic water electrolysis.
Keywords:
bimetal phosphide; Ag nanowires (Ag NWs); core-shell structure; hydrogen evolution reaction (HER)
Cite this article:
Hang Yu, Jianhua Zhang, Kailing Zhou, Hao Wang. Acid-stable bimetallic phosphide-silver core-shell nanowires with a seamlessly conductive network for enhanced hydrogen evolution reaction. Front. Energy, https://doi.org/10.1007/s11708-025-1023-3
扫描二维码查看原文

通讯作者简介
周开岭,北京工业大学材料科学与工程学院副研究员、博士生导师。主要研究方向:氢能催化材料与技术、质子超低温电池、电磁波动态调控材料与技术。
期刊简介
Frontiers in Energy是中国工程院院刊能源分刊,高教社Frontiers系列期刊之一。由中国工程院、上海交通大学和高等教育出版社共同主办。翁史烈院士和倪维斗院士为名誉主编,中国工程院院士黄震、周守为、苏义脑、彭苏萍担任主编。加拿大皇家科学院、加拿大工程院、中国工程院外籍院士张久俊,美国康涅狄格大学校长、教授Radenka Maric,上海交通大学教授Nicolas Alonso-Vante和巨永林担任副主编。

Frontiers in Energy已被SCIE、EI、Scopus、CAS、INSPEC、Google Scholar、CSCD、中国科技核心期刊等数据库收录。根据《期刊引证报告》,本刊2024年影响因子为6.2,在ENERGY FUELS学科分类中位列55位(55/182),处于JCR Q2区。2024年度CiteScore为6.9,在Energy领域排名#77/299;2025年即时CiteScore为8.3(数据截至2025年8月5日)。
Frontiers in Energy出版能源领域原创研究论文、综述、展望、观点、评论、新闻热点等。选文注重前沿性、创新性和交叉性,涉及领域包括:能源转化与利用,可再生能源,储能技术,氢能与燃料电池,二氧化碳捕集、利用与封存,动力电池与电动汽车,先进核能技术,智能电网和微电网,新型能源系统,能源与环境,能源经济和政策。
Frontiers in Energy免收版面费,并为录用的文章提供免费语言润色服务,以确保出版质量。第一轮平均审稿周期30天,从审稿到录用平均60天。
更多信息请访问:
http://journal.hep.com.cn/fie(国内免费开放)
https://link.springer.com/journal/11708
联系我们:
FIE@sjtu.edu.cn, (86) 21-62932006
qiaoxy@hep.com.cn, (86) 10-58556482

《前沿》系列英文学术期刊
由教育部主管、高等教育出版社主办的《前沿》(Frontiers)系列英文学术期刊,于2006年正式创刊,以网络版和印刷版向全球发行。系列期刊包括基础科学、生命科学、工程技术和人文社会科学四个主题,是我国覆盖学科最广泛的英文学术期刊群,其中12种被SCI收录,其他也被AHCI、Ei、MEDLINE或相应学科国际权威检索系统收录,具有一定的国际学术影响力。系列期刊采用在线优先出版方式,保证文章以最快速度发表。
中国学术前沿期刊网
http://journal.hep.com.cn

来源:Frontiers in Energy

