超灵敏室温极值光电响应实现。 导读
近日,来自中国科学院上海技术物理研究所的研究团队创新性地利用电磁诱导势阱(EIW)效应和激子绝缘体(EI)相变实现了针对室温条件优化的光电响应极值,在太赫兹波段表现出相较传统商用高莱管探测器比探测率数量级提升的室温高性能响应。研究通过激子绝缘体相变与能带工程的协同调控,为开发室温高性能光电探测器提供了全新范式。
相关成果近日发表在国际顶尖学术期刊《Light: Science Applications》,题为Ultrasensitive photoelectric detection with room temperature extremum,红外科学与技术全国重点实验室吴吞炭博士为该论文的第一作者,黄志明研究员为该论文通讯作者。
研究背景
室温光电探测在成像、量子信息、通信及可穿戴电子设备等诸多领域展现出极其重要且广泛的应用前景。在探测技术发展过程中,具有相变特性的材料始终是探测器研究的核心关注对象。材料在接近相变温度时,往往呈现出独特的电子与光子行为特性,这为技术革新提供了重要契机。然而,这类探测器的运行温度受限于材料固有相变温度,其最佳工作温度往往位于低温区间,如基于超导相变的SIS混频器和TES探测器。另外,虽然部分材料的相变温度恰好位于室温附近,如呈现Mott相变特性的VOx和具有铁电相变的BST,基于这些材料构建的测辐射热计与热释电探测器虽可在室温环境下工作,但由于其热效应探测机制的本质限制,通常表现出较低的响应速度与受限的电学带宽特性。因此,针对室温条件优化的高灵敏度光电探测技术研究对推动室温光电子技术的发展具有决定性意义。
研究亮点
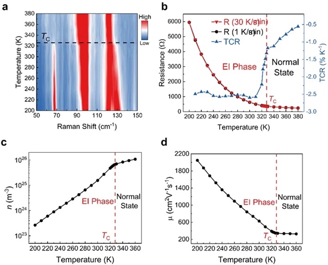
研究团队通过变温拉曼光谱表征了EI相变下Ta2NiSe5的晶格畸变(图1a),并通过变温电学研究得到了Ta2NiSe5在相变温度326 K后电阻温度系数α值从-1.3 %至-2.5 %的突变(图1b)。变温霍尔表征进一步展现了Ta2NiSe5由于激子凝聚作用在相变后的载流子浓度快速下降和迁移率的快速上升(图1c和d),揭示了电子-声子耦合作用引起输运性质剧变带来电学性质突变的物理本质。

图1. Ta2NiSe5的激子绝缘体相变研究
此研究团队对器件的变温光电响应特性展开研究,利用电磁诱导势阱(EIW)效应和EI相变下的输运性质突变,实现了与理论推导相吻合的太赫兹波段不寻常的室温光电响应极值(图2a和b)。通过对器件变温噪声和变温响应时间的进一步研究,确定了室温为器件的最佳工作区间。如图2c所示,探测器在500-15000 μm宽谱太赫兹波段的比探测率相较商用室温太赫兹探测器Golay Cell的7.0×109 cm Hz0.5 W-1的特征D*值提升了2个数量级。研究结果证明了Ta2NiSe5是极具潜力的室温高灵敏探测候选材料。

图2. 器件的室温光电响应极值
此外研究团队搭建了基于Ta2NiSe5和WS2的Type I异质结,在降低暗电流的同时提升了器件的栅极调控能力。异质结器件在可见及红外波长表现出明显的光伏效应,在太赫兹波段实现了EIW效应和结效应协同作用下的光电响应。如图3所示,异质结器件相较单质器件在可见及红外波长实现了2个数量级以上的室温D*提升,同时太赫兹波段性能也得到了进一步提升。

图3. 基于Ta2NiSe5的异质结器件及其室温宽带光电响应
研究团队在图4中将研究成果与已报道的工作进行了对比。在太赫兹波段,本文的Ta2NiSe5基探测器的室温响应率、电子学带宽和D*均大幅优于商用器件和已报道的二维材料的太赫兹探测器。在可见光到红外波长,本文的Ta2NiSe5基探测器的室温响应率优于商用红外探测器和已报道的二维材料探测器,与此同时,其室温电子学带宽相较大多数已报道的二维材料探测器有着明显提升。探测器的室温D*与已报道的Ta2NiSe5及WS2基二维材料探测器相比实现了1-2个数量级的进步,并可以媲美商用探测器的室温性能。

图4. 研究成果与已报道工作的对比
应用与展望
本研究通过电磁诱导势阱效应和激子绝缘体相变特性,首次实现了针对室温条件优化的超灵敏光电响应调控。研究通过激子绝缘体相变与能带工程的协同调控,为开发室温高性能光电探测器提供了全新范式。所实现的可见光-红外-太赫兹宽谱域室温超灵敏探测特性,在环境监测、遥感成像等前沿领域展现出重要的应用潜力,标志着量子相变材料在光电信息领域的基础研究向实际应用迈出了关键一步。(来源:LightScienceApplications微信公众号)
相关论文信息:https://doi.org/10.1038/s41377-024-01701-0
特别声明:本文转载仅仅是出于传播信息的需要,并不意味着代表本网站观点或证实其内容的真实性;如其他媒体、网站或个人从本网站转载使用,须保留本网站注明的“来源”,并自负版权等法律责任;作者如果不希望被转载或者联系转载稿费等事宜,请与我们接洽。
作者:黄志明等 来源:《光:科学与应用》

